Oberstufe 1
Du bist nicht angemeldet
¡Click hier und melde dich an!, oder registriere dich (hier auch)
, sonnst kannnst du beitragen nicht.
Suche
Navigation
Startseite
Themen
Blogger.de Startseite
Werbung
...
newer stories
Montag, 30. November 2009
Hausaufgabe für Dienstag, den 1. December, 2009
wikiku, 18:01h
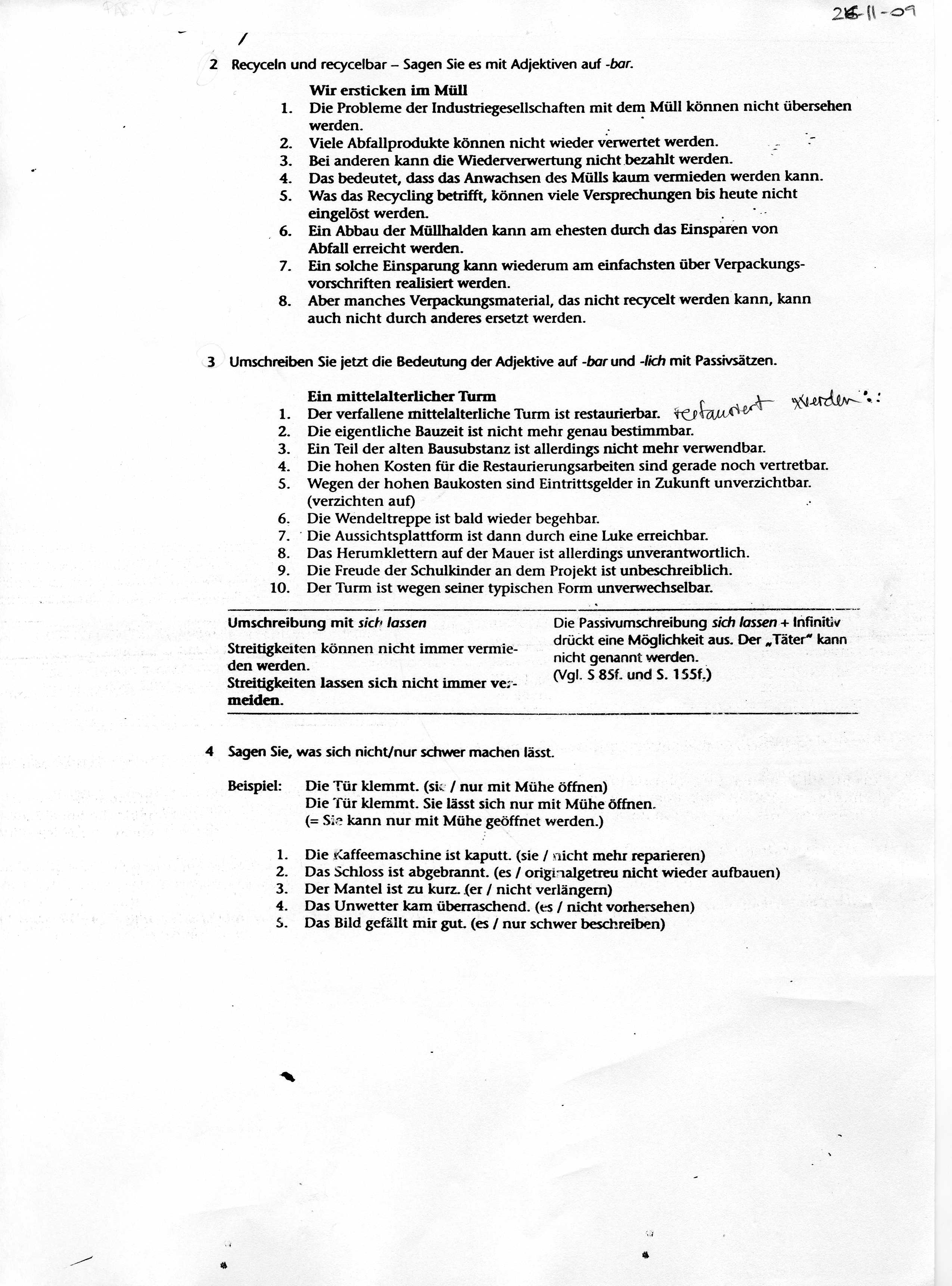
Diese zwei Blätter;
hag1_12_09_1
(jpg, 655 KB)
hag1_12_09_2
(jpg, 655 KB)
...
link
(0 Kommentare) ...
comment
...
older stories
Wörterbücher
Wikiwörterbuch
Das Deutsche Wörterbuch von Jacob und Wilhelm Grimm auf CD-ROM und im Internet
Grammatik
Zeitungen
Stern
Wikis
Online seit 5935 Tagen
Letzte Aktualisierung: 2010.06.16, 03:47
Archiv
November 2009
Mo
Di
Mi
Do
Fr
Sa
So
1
2
3
4
5
6
7
8
9
10
11
12
13
14
15
16
17
18
19
20
21
22
23
24
25
26
27
28
29
30
Dezember
Letzte Änderungen
Abschlussexamen am Donnerstag,...
Viel Glück! Bis zum nächsten Jahr! Die ganze...
by beobachter (2010.06.16, 03:47)
Hausaufgabe für...
hausaufgabe 15.06 (06, 345 KB) Schönes Wochenende!
by beobachter (2010.06.11, 15:32)
Hausaufgabe für...
Und man wird eine Übungsarbeit im Unterricht...
by beobachter (2010.06.10, 02:36)
Hausaufgabe für...
Die ganze Gruppe vom O1 des Zentrums wünscht viel...
by beobachter (2010.06.04, 02:45)
Hausaufgabe für...
Zwei Blätter: Erstes; Passivumschreiben, zweites;...
by beobachter (2010.06.02, 00:13)